ilsecchione
martedì 28 settembre 2010
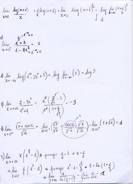
esercizi sui limiti: forme indeterminate e limiti notevoli
Nessun commento:
Posta un commento
Post più recente
Post più vecchio
Home page
Iscriviti a:
Commenti sul post (Atom)
Nessun commento:
Posta un commento